Neisseria gonorrheae: Computing coalescent odds, identifying growing lineages, cluster identification & sample reweighting
Erik Volz
2025-12-16
ngono.RmdThis vignette demonstrates the main functions of cod
using data from 1,102 Neisseria gonorrhoeae genomes first described in
1. The
data used here were further analysed in 2 and the data analysed
here is available at https://github.com/emvolz/cod/tree/main/inst/extdata.
library(cod)
tr <- ape::read.tree( system.file('extdata/grad2016-treedater-tr1.nwk', package='cod' ) )
md <- read.csv( system.file( 'extdata/grad2016-a2md.csv' , package='cod' ) ) This is a time-scaled phylogeny estimated using phyml,
ClonalFrameML and the treedater R package.
tr ##
## Phylogenetic tree with 1102 tips and 1101 internal nodes.
##
## Tip labels:
## 17176_1#21, 15335_3#33, 15335_6#51, 15335_4#63, 15335_5#50, 8727_8#36, ...
##
## Rooted; includes branch length(s).
Metadata includes the year of sample collection, clinic where the sample was collected, and resistance scores to several classes of antibiotics. For the purposes of this vignette, we will consider a score of “2” to represent resistance.
head(md)## ID PEN TET SPC CFX CRO CIP AZI Clinic Year
## 1 15335_2#1 2 2 0 2 0 2 1 POR 2012
## 2 15335_2#10 1 1 0 0 0 0 2 MIN 2005
## 3 15335_2#11 1 1 0 0 0 0 2 MIN 2005
## 4 15335_2#12 1 2 0 0 0 0 2 LVG 2006
## 5 15335_2#13 2 2 0 NA 0 2 2 CHI 2008
## 6 15335_2#14 2 2 0 NA 0 0 2 KCY 2008
hist( md$Year, main = '', ylab = '', xlab = 'Year' )
Estimating coalescent odds
The main function to estimate coalescent odds using weighted least
squares is codls:
f <- codls( tr )
f## Genealogical placement GMRF model fit
##
## Phylogenetic tree with 1102 tips and 1101 internal nodes.
##
## Tip labels:
## 17176_1#21, 15335_3#33, 15335_6#51, 15335_4#63, 15335_5#50, 8727_8#36, ...
##
## Rooted; includes branch length(s).
## Range of coefficients:
## -1.12889544705052 1.9085811316829
## Precision parameter (log tau): 2.17220420767149
The only required argument is a time-scaled phylogenetic tree. This
method models the correlation of coalescent odds between phylogenetic
lineages using a Gaussian-Markov Random Field which includes a precision
parameter logtau. If independently estimated, this can be
provided to codls to speed up estimation, but if omitted,
logtau will be automatically estimated using the
optcodsmooth function. You can also speed up
codls by using multiple CPUs with the ncpu
argument.
Plotting the fit will display a tree with estimated log odds of
coalescence mapped by colour on to branches. Note that this requires the
ggtree package to be installed.
# Plot the tree with coalescent odds - handle potential ggtree issues
tryCatch({
plot(f)
}, error = function(e) {
cat("Plot generation failed due to ggtree compatibility issue:\n")
cat(e$message, "\n")
cat("Tree summary:\n")
print(f)
cat("\nCoalescent odds summary:\n")
print(summary(coef(f)))
})
The coalescent odds for each branch can be retrieved using
coef, e.g.:
coef(f)[1:4] ## [1] 0.004858235 0.104878380 0.145474704 0.203367462
These are in the same order as nodes in the input tree.
Let’s merge the estimated coalescent odds back into the metadata for subsequent analysis:
fdf <- data.frame( tip = f$data$tip.label, psi = coef(f)[1:Ntip(tr)] )
md$tip <- md$ID
md <- merge( md, fdf, by = 'tip')
head( md )## tip ID PEN TET SPC CFX CRO CIP AZI Clinic Year psi
## 1 15335_2#1 15335_2#1 2 2 0 2 0 2 1 POR 2012 -0.4367199
## 2 15335_2#10 15335_2#10 1 1 0 0 0 0 2 MIN 2005 0.2358685
## 3 15335_2#11 15335_2#11 1 1 0 0 0 0 2 MIN 2005 0.2036033
## 4 15335_2#12 15335_2#12 1 2 0 0 0 0 2 LVG 2006 0.1989217
## 5 15335_2#13 15335_2#13 2 2 0 NA 0 2 2 CHI 2008 -0.2859137
## 6 15335_2#14 15335_2#14 2 2 0 NA 0 0 2 KCY 2008 -0.2889254
Sample weights
If we examine the relationship between coalescent odds and where samples originated (Clinic) there are a few clinics with significantly higher values:
##
## COL LA2 SLC STL FBG GRB IND PON NOR LBC NYC CLE RIC KCY ALB DTR OKC DAL CIN ATL
## 3 3 3 3 4 6 6 6 7 8 8 11 11 13 14 14 14 16 22 25
## BHM MIA SEA DEN BAL HON POR MIN LAX ORA PHX SFO PHI CHI LVG SDG
## 28 28 29 30 33 35 48 51 53 62 64 67 69 71 85 152
##
## Call:
## lm(formula = psi ~ Clinic, data = md)
##
## Residuals:
## Min 1Q Median 3Q Max
## -1.17016 -0.31795 -0.08085 0.14890 1.88243
##
## Coefficients:
## Estimate Std. Error t value Pr(>|t|)
## (Intercept) -0.08706 0.15173 -0.574 0.56624
## ClinicATL 0.08569 0.18951 0.452 0.65125
## ClinicBAL 0.19265 0.18107 1.064 0.28760
## ClinicBHM -0.06594 0.18583 -0.355 0.72277
## ClinicCHI 0.15978 0.16601 0.962 0.33604
## ClinicCIN -0.15816 0.19409 -0.815 0.41531
## ClinicCLE -0.14502 0.22874 -0.634 0.52622
## ClinicCOL -0.13869 0.36118 -0.384 0.70107
## ClinicDAL 0.36634 0.20776 1.763 0.07814 .
## ClinicDEN -0.01967 0.18375 -0.107 0.91479
## ClinicDTR 0.03101 0.21457 0.144 0.88513
## ClinicFBG -0.10919 0.32186 -0.339 0.73450
## ClinicGRB 0.78823 0.27701 2.845 0.00452 **
## ClinicHON 0.06508 0.17952 0.363 0.71704
## ClinicIND 0.08834 0.27701 0.319 0.74987
## ClinicKCY 0.08874 0.21866 0.406 0.68494
## ClinicLA2 0.63990 0.36118 1.772 0.07673 .
## ClinicLAX 0.12362 0.17059 0.725 0.46882
## ClinicLBC -0.18841 0.25161 -0.749 0.45414
## ClinicLVG -0.09778 0.16374 -0.597 0.55055
## ClinicMIA 0.43854 0.18583 2.360 0.01846 *
## ClinicMIN 0.05422 0.17129 0.317 0.75163
## ClinicNOR -0.24982 0.26280 -0.951 0.34201
## ClinicNYC -0.18111 0.25161 -0.720 0.47180
## ClinicOKC -0.25290 0.21457 -1.179 0.23881
## ClinicORA 0.14291 0.16799 0.851 0.39512
## ClinicPHI 0.09847 0.16641 0.592 0.55414
## ClinicPHX 0.23628 0.16750 1.411 0.15865
## ClinicPON 0.24875 0.27701 0.898 0.36940
## ClinicPOR 0.09572 0.17244 0.555 0.57896
## ClinicRIC -0.10540 0.22874 -0.461 0.64503
## ClinicSDG 0.14276 0.15856 0.900 0.36813
## ClinicSEA -0.10906 0.18475 -0.590 0.55510
## ClinicSFO -0.02538 0.16683 -0.152 0.87910
## ClinicSLC -0.27095 0.36118 -0.750 0.45331
## ClinicSTL -0.19067 0.36118 -0.528 0.59766
## ---
## Signif. codes: 0 '***' 0.001 '**' 0.01 '*' 0.05 '.' 0.1 ' ' 1
##
## Residual standard error: 0.5677 on 1066 degrees of freedom
## Multiple R-squared: 0.06646, Adjusted R-squared: 0.0358
## F-statistic: 2.168 on 35 and 1066 DF, p-value: 0.0001154
It is possible that this occurred because these locations were
sampled more intensively than other clinics which can artificially
increase coalescent rates because of higher local density of
co-circulating lineages. Samples can be down-weighted in
codls by passing the *weights* argument, which
should ameliorate bias from over-sampling if we know how much
over-sampling took place. Unfortunately, this is rarely known, so
cod includes a routine to consider a range of sample
weights and will identify the maximum weight such that there is no
longer a significant relationship between coalescent odds and a given
variable (usually geographic). Here we identify all samples from the
“MIA” clinical and pass these to the autoreweight
function.
# Clinics associated with psi :
signifclinics <- rownames(s$coefficients)[ s$coefficients[ , 4] < .1 ]
signifclinics <- substr(signifclinics, 7,9 )
# Subset of tips from clinics associated with psi :
reweighttips <- md$tip[ md$Clinic %in% signifclinics ]
arw <- autoreweight( f, reweighttips, wlb = 1e-2, wub = .5, res = 5, alpha = .02 )
f = arw$fit
arw$summary## sampleweight p
## 1 0.0100 0.0182876306
## 2 0.1325 0.0060415712
## 3 0.2550 0.0018345749
## 4 0.3775 0.0005179955
## 5 0.5000 0.0001375240
Note that in some cases, the association will not disappear even if the weight is zero because lineages surrounding the given samples also have higher coalescent odds. In these cases, the relationship is more likely to be authentic. That is exactly what we see here. Even when weighting these samples at 1% (unrealistically low) there remains a significant association with coalescent odds. Consequently, this fit will be identical to the original fit.
Antibiotic resistance
Here we examine the relationship between coalescent odds and antibiotic resistance. First, we replot the coloured tree alongside resistance phenotypes.
abxs <- c( 'PEN', 'TET', 'CFX', 'CRO', 'CIP', 'AZI')
abxmat <- as.matrix(md[, abxs ] )
abxmat <- apply( abxmat, 2, function(x) (x == "2") ) # The value of '2' is coded as abx resistant
rownames( abxmat ) <- md$tip
head(abxmat) ## PEN TET CFX CRO CIP AZI
## 15335_2#1 TRUE TRUE TRUE FALSE TRUE FALSE
## 15335_2#10 FALSE FALSE FALSE FALSE FALSE TRUE
## 15335_2#11 FALSE FALSE FALSE FALSE FALSE TRUE
## 15335_2#12 FALSE TRUE FALSE FALSE FALSE TRUE
## 15335_2#13 TRUE TRUE NA FALSE TRUE TRUE
## 15335_2#14 TRUE TRUE NA FALSE FALSE TRUE
abxmat[ is.na(abxmat) ] <- FALSE
# Try to create tree plot with heatmap, handle ggtree issues
tryCatch({
trpl <- plot(f) +
ggplot2::scale_color_gradient2( low='blue'
, mid = 'lightblue'
, high = 'red'
, midpoint = 0
, limits = range(fdf$psi)
, name = "ψ" )
trpl <- ggtree::gheatmap( trpl, abxmat, colnames_position='top', colnames_offset_y = -11)
trpl$data$label = '' # suppress tip labels
print(trpl)
}, error = function(e) {
cat("Tree plot with heatmap failed due to ggtree compatibility issue:\n")
cat(e$message, "\n")
cat("\nAntibiotic resistance summary:\n")
print(colSums(abxmat))
cat("\nSamples with highest coalescent odds:\n")
top_psi <- head(md[order(md$psi, decreasing=TRUE), c("tip", "psi", abxs)], 10)
print(top_psi)
})
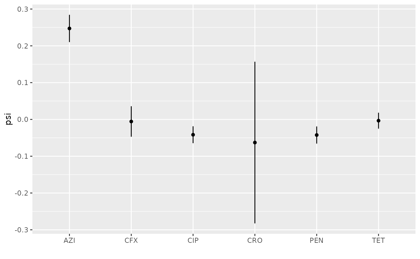
It looks like higher coalescent odds are associated with AZI resistance and no other abx shows a positive effect. Let’s quantify this. Here we do a linear regression of coalescent odds on each abx and time, then infer the mean psi at the end of sampling (year 2013).
md$t <- md$Year - min(md$Year)
psi2013 <- sapply( abxs, function(x)
{
md1 <- md
md1$v <- md1[[x]] == 2
m = lm( psi ~ v*t , data = md1 )
predict( m, newdata= data.frame( psi = NA, v = TRUE, t = 13 ) , interval='confidence')
}) |> setNames( abxs )
ebdf <- as.data.frame( t( psi2013 ) )
colnames(ebdf) <- c( 'Median', '2.5%', '97.5%' )
ebdf$abx = rownames( ebdf )
ebdf <- ebdf[ order( ebdf$Median ) , ]
print( ebdf )## Median 2.5% 97.5% abx
## CRO -0.33689489 -1.01640541 0.34261563 CRO
## PEN -0.13405015 -0.20522152 -0.06287877 PEN
## CIP -0.13023070 -0.19953996 -0.06092143 CIP
## CFX -0.02911709 -0.15417258 0.09593839 CFX
## TET 0.02391297 -0.04309963 0.09092558 TET
## AZI 0.89029502 0.77634421 1.00424584 AZI
Here the result is plotted:
peb = ggplot2::ggplot(ebdf, ggplot2::aes(x = abx, y = Median, ymin = `2.5%`, ymax = `97.5%`) ) + ggplot2::geom_errorbar(width=0) +
ggplot2::geom_point() +
ggplot2::labs(y = 'psi', x = '' )
peb
In fact, resistance to AZI expanded rapidly after these data were collected, from a prevalence of 0.6% in 2013 to 4.5% in 20173. This is the most rapid growth among these antibiotics.
Phylogenetic clusters
An alternative way to look at coalescent odds is in terms of
phylogenetic clusters. These are clades defined by a threshold change in
coalescent odds along a lineage, from low to high values. There is some
subjectivity in the choice of clustering thresholds and the best choice
depends on the application, however cod provides a method
based on the Calinski-Harabasz
index.
## threshold CH optimal
## 1 0.03000000 3111.261
## 2 0.04947368 6462.252
## 3 0.06894737 10778.941
## 4 0.08842105 14680.318
## 5 0.10789474 21507.628
## 6 0.12736842 29094.522
## 7 0.14684211 29271.671
## 8 0.16631579 37338.379
## 9 0.18578947 46129.976
## 10 0.20526316 56708.829
## 11 0.22473684 59308.878
## 12 0.24421053 58146.264
## 13 0.26368421 72607.117
## 14 0.28315789 62908.156
## 15 0.30263158 67294.613
## 16 0.32210526 81134.673
## 17 0.34157895 96503.181
## 18 0.36105263 117905.819
## 19 0.38052632 126070.206
## 20 0.40000000 160636.312 ***
Here, we compute clusters using the maximum CH index. Note that if no
threshold is provided, computeclusters will automatically
select the optimal threshold:
# Using optimal threshold from CH index
chdf = computeclusters(f, chis$threshold[which.max(chis$CH)] )
# Alternatively, let computeclusters automatically select optimal threshold:
# chdf = computeclusters(f)
head(chdf)## node tip.label clusterid psi tip
## 1 986 15335_2#43 1 -0.2610328 TRUE
## 2 987 15335_4#44 1 -0.2610328 TRUE
## 3 988 15335_4#19 1 -0.2565474 TRUE
## 4 989 17225_3#73 1 -0.2204023 TRUE
## 5 990 17176_1#34 1 -0.2171693 TRUE
## 6 991 17225_3#89 1 -0.2582032 TRUE
Plotting this shows that one cluster very closely matches a clade
with high levels of AZI resistance and high coalescent odds, so an
alternative way to analyse these data would be to identify clusters with
high coalescent odds and then characterise resistance patters within
these clusters. The clusters can be visualised by running
plotclusters(f, chdf).

# Cluster summary statistics
cat("Cluster summary:\n")## Cluster summary:
##
## 1 2 3 4 5 6 7 8 9 10 11 12 13 14
## 22 104 88 92 4 192 3 140 47 141 3 575 308 616
cat("\nCluster statistics (coalescent odds by cluster):\n")##
## Cluster statistics (coalescent odds by cluster):
cluster_stats <- aggregate(chdf$psi, by=list(chdf$clusterid),
function(x) c(mean=mean(x, na.rm=TRUE),
sd=sd(x, na.rm=TRUE),
n=length(x)))
names(cluster_stats) <- c("cluster", "psi_stats")
print(cluster_stats)## cluster psi_stats.mean psi_stats.sd psi_stats.n
## 1 1 -0.341212048 0.171619309 22.000000000
## 2 2 0.381617700 0.254668680 104.000000000
## 3 3 0.363007212 0.214765365 88.000000000
## 4 4 -0.175488735 0.208121259 92.000000000
## 5 5 -0.887119967 0.144975491 4.000000000
## 6 6 1.548975084 0.213336390 192.000000000
## 7 7 0.710763879 0.199858674 3.000000000
## 8 8 0.084002855 0.138217162 140.000000000
## 9 9 -0.221995933 0.121345282 47.000000000
## 10 10 -0.224530136 0.166636298 141.000000000
## 11 11 -0.655195021 0.272068455 3.000000000
## 12 12 -0.206051956 0.192692458 575.000000000
## 13 13 0.003235142 0.383942098 308.000000000
## 14 14 -0.286349103 0.293983310 616.000000000